RT @NatMed_Research: Exercising D. melanogaster Modulates the Mitochondrial Proteome and Physiology. The Effect on Lifespan Depe…
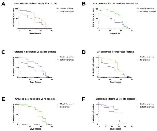
RT @NatMed_Research: Exercising D. melanogaster Modulates the Mitochondrial Proteome and Physiology. The Effect on Lifespan Depends upon Age and Sex https://buff.ly/3pfjMJn
The Botanical Garden of Department of Pharmacognosy, University of Vienna, Austria. Photo by Atanas G. Atanasov.
Lagoon of the seven cities, a twin lake in the crater of a dormant volcano in the western part of the São Miguel island (Azores, Portugal). Photo by Dr. Ana Sanches Silva.
Central Australian desert scene. Photo by Dr. Rohan Davis.
HEK293T cells. Photo by Atanas G. Atanasov.
Tropical rainforest, Queensland, Australia. Photo by Dr. Rohan Davis.
Australian ocean scene. Photo by Dr. Rohan Davis.
Laboratory equipment. Photo by Atanas G. Atanasov.
Rhododendron arboreum flower. Photo by Devesh Tewari.
The Valley of Flowers, Himalaya, India. Photo by Dr. Rajeshwari Singh.
Bryce Canyon, Utah, USA. Photo by Dr. Anupam Bishayee.
Euphorbia prolifera Buch. (Ham) Ex. Photo by Devesh Tewari.
Foothills of Himalaya, India. Photo by Devesh Tewari.
The Valley of Flowers, Himalaya, India. Photo by Dr. Rajeshwari Singh.
Eco-School Festival, Leiria-Portugal, Spring 2018
Polygonum maritimum (L.) (Polygonaceae)- Ourdania beach (Ain Temouchent- west Algeria)- taken by PhD. EL HACI Imad Abdelhamid
Flower blossoms at gardens by the bay Singapore-photo by Dr. Hemanth Kumar Boyina.